(Patria) - Ministar vanjskih poslova BiH Elmedin Konaković nastavio je negirati da je u ime Ministarstva potpisao ugovor s lobističkom kućom u SAD-u Bosnian American Alliance, nakon što je Tužilaštvo pokrenulo istragu zbog nezakonitog djelovanja.
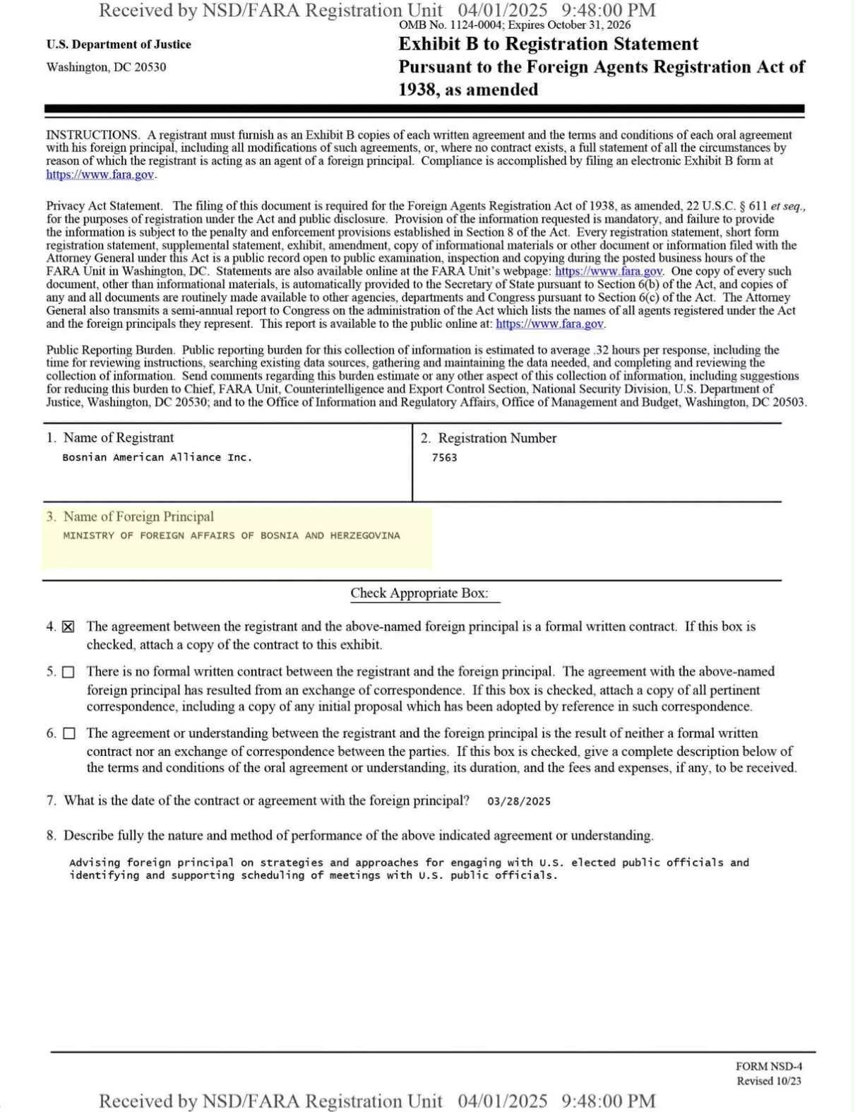
Međutim, dokumenti američke administracije govore da je Ministarstvo vanjskih poslova 28. marta ove godine sklopilo ugovor sa ovom lobističkom kućom, piše Istraga.ba.
Konaković je na svom Facebook profilu napao urednika Politički.ba Seada Numanovića koji je također pisao o spornom ugovoru.
"Gospodin Numanović priču o lobiranju karikira i propustio je da kaže da ugovor o lobiranju nismo potpisali u Ministarstvu vanjskih poslova nego smo to drugačije uradili, zapravo da istinito prenese šta sam zaista rekao", naveo je Konaković.
U intervjuu koji je u maju ove godine dao za Klix Studio, ministar Konaković je tvrdio suprotno.
- Ugovor sa American Alliance je pro bono, sa Ministarstvom vanjskih poslova. American Alliance ima ugovor zato što su oni moji savjetnici. Zato što sam ih ovlastio da rade u interesu MVP-a. Zato što za to imam puno zakonsko pravo. Zato što to državu košta nula konvertibilnih maraka - kazao je tada Konaković.
A danas tvrdi da se šalio.
Ipak, dokument američkog NSD/FARA, koji je dio Ministarstva pravde SAD-a, a gdje se registruju lobističke aktivnosti stranih zemalja, registrovao je ugovor između lobističke kuće Bosnian American Alliance i Ministarstva vanjskih poslova BiH.
U dokumentu je jasno vidljivo da je naručilac lobiranja Ministarstvo vanjskih poslova BiH i da je datum potpisa 28.03.2025. - identičan onom koji se nalazi na originalnom ugovoru.
Podsjećamo, Istraga.ba je 13. aprila ove godine objavila da je propalo Konakovićevo lobiranje jer je dio novca, koje su u ime Ministarstva vanjskih poslova na račun lobista uplatile privatne kompanije vraćen u BiH zbog sumnje na pranje novca.
Ugovor je ovjeren pečatom Ministarstva, protokolisan brojevima Ministarstva i potpisan Konakovićevim potpisom.
Almas Šehić i njegov prijatelj Mirza Pilaković, koji zastupaju lobističku kuću u SAD-u, našli su se u problemima kada su na njihove račune izvršene uplate za "lobiranje". Taj novac su, prema informacijama Istrage, prikupili poduzetnici iz BiH.
No, problem predstavlja činjenica da je ugovarač posla bilo Ministarstvo vanjskih poslova BiH te da je u ugovoru navedeno da će "lobiranje" za Bosnu i Hercegovinu obavljati bez naknade.
Stoga, nikome u bankarskom sektoru nije bilo jasno na osnovu čega su poduzetnici uplatili novac za lobiranje, ako oni nisu potpisali takav ugovor. To je rezultovalo istragom Tužilaštva BiH.

Konaković je upravo zbog istrage u Tužilaštvu BiH u programu Face TV-a kazao da se šalio kada je na Vijeću ministara kazao da je lično potpisao spomenuti ugovor u svojstvu ministra i da bi to bilo nezakonito.
- Pozvali su me u Tužilaštvo BiH prije mjesec dana u svojstvu svjedoka. Nisam znao o kojem predmetu je riječ. Kada sam došao korektna je bila tužiteljica i njena istražiteljica.
Kažu mi, je li ovo Vaša izjava na Klixu kada sam rekao da je Kajganić (glavni državni tužilac op.a.) otvorio istragu protiv mene lično zato što sam se šalio na Vijeću ministara BiH da lobiranje u Americi ide preko Ministarstva vanjskih poslova BiH, da sam ja lično potpisao taj ugovor.
To je nemoguće jer nemam tu poziciju. Bilo bi nezakonito da jesam - rekao je Konaković u subotu navečer.