(Patria) - Minimalna neto plata u FBiH od 1. januara ove godine iznosi hiljadu KM, bruto 1.744 KM, a s toplim obrokom i naknadom za prevoz iznos se penje na oko 2 hiljade.
Vlada FBiH najavila je da će strogo kontrolisati primjenu ovog zakona, odnosno da će se paziti da pojedine kompanije ne izbjegavaju izmirenje svih obaveza prema radnicima i državi.
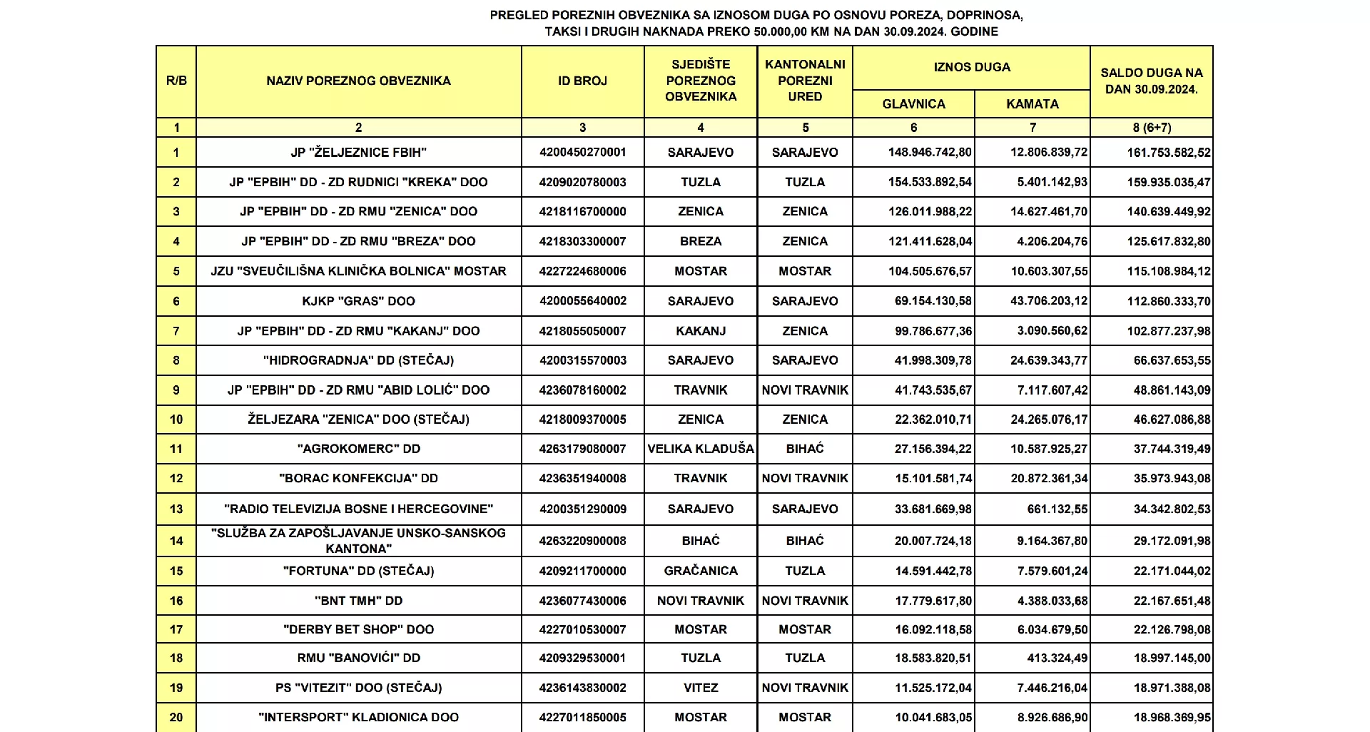
S druge strane, zanimljiv je podatak da brojne kompanije već sada ne izmiruju svoje obaveze. Najveći poreski dužnici su državna preduzeća, ali ima i onih koji su u privatnom vlasništvu.
U Federaciji BiH postoji 5.109 pravnih lica koje imaju dug po osnovu poreza, doprinosa, taksi i drugih naknada od preko 50.000 KM. Oni duguju ukupno 2,6 milijarde maraka.
Najveći pojedinačni dužnik su JP "Željeznice FBiH", s iznosom od skoro 162 miliona KM, piše BiznisInfo.
Slijedi nekoliko rudnika koji posluju u sastavu Elektroprivrede BiH, klinički centar u Mostaru, GRAS, te Hidrogradnja i Željezara Zenica koji su u stečaju.
Zbirno gledano najveći dužnik je koncern Elektroprivrede BiH.
Na slici iznad je 20 najvećih dužnika, a cijela lista je dostupna ovdje.